Oblicz długość fal o następujących częstotliwościach: f1 = 1,5 ⋅ 109 Hz, f2 = 6 ⋅ 1014 Hz, f3 = 4 ⋅ 1016 Hz, f4 = 2 ⋅ 1019 Hz. Ustal, do jakiego zakresu fal elektromagnetycznych należą poszczególne fale.
DANE:
SZUKANE:
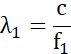
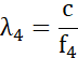
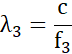
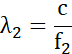
WZÓR:
Wyznaczamy zakres długości fal elektromagnetycznych:
Fale o długości λ1 należą do mikrofal, o długości λ2 – do promieniowania widzialnego, o długości λ3 – do promieniowania nadfioletowego, a o długości λ4 – do promieniowania rentgenowskiego.
Przyjęte oznaczenia:
Wyznacz długość fali w każdym przypadku, przekształcając wzór
Zadanie 16.1.9.
16Zadanie 16.1.15.
17Zadanie 16.2.7.
25Zadanie 16.2.12.
26Zadanie 16.2.16.
27Zadanie 16.3.1.
36Zadanie 16.3.9.
37Zadanie 16.3.13.
38Zadanie 16.3.14.
38Zadanie 16.3.15.
39Zadanie 16.3.17.
40Zadanie 16.5.5.
53Zadanie 16.5.7.
53Zadanie 16.6.3.
59Zadanie 16.6.6.
60Zadanie 16.6.13.
62Zadanie 16.7.1.
66Zadanie 16.7.4.
66Zadanie 16.7.6.
67Zadanie 16.7.9.
68Zadanie 16.7.10.
68Zadanie 16.8.2.
77Zadanie 16.8.3.
78Zadanie 16.8.4.
78Zadanie 16.8.5.
79Zadanie 16.8.9.
80Zadanie 16.8.10.
80Zadanie 16.8.11.
80Zadanie 16.8.12.
80Zadanie 16.8.15.
81Zadanie 16.8.20.
81Zadanie 16.8.21.
81Zadanie 16.8.23.
82Zadanie 16.9.10.
92Zadanie 16.10.14.
103Zadanie 16.12.1.
115Zadanie 16.12.8.
117Zadanie 4.
122Zadanie 5.
122Zadanie 6.
123Zadanie 7.
123