Na podstawie wyników eksperymentu przeprowadzonego przez uczniów oblicz miarę kąta ε – odchylenia promienia wychodzącego z pryzmatu od jego początkowego biegu. Wykorzystaj dane przedstawione w treści zadania oraz rysunek zamieszczony w podręczniku.
DANE:
SZUKANE:
WZÓR:
Wyznaczamy kąt odchylenia:
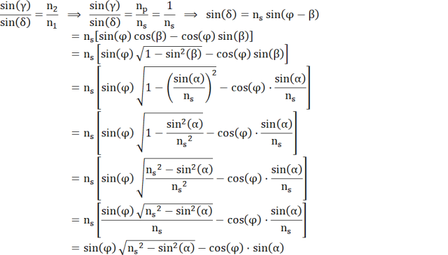
Prawo załamania:
Kąty padania i załamania:
Kąt zewnętrzny:
Kąt łamiący:
Przyjęte oznaczenia:
Najpierw skorzystaj z prawa załamania, które mówi, że stosunek sinusa kata padania do sinusa kąta załamania jest dla dwóch danych ośrodków stały i równy stosunkowi współczynników załamania światła w tych ośrodkach. Na tej podstawie wyznacz sinus kąta załamania podczas wejścia promienia świetlnego do pryzmatu. Następnie skorzystaj z tego prawa podczas wyjścia promienia i oblicz sinus kąta załamania. Znając jego wartość, odczytaj z tablic trygonometrycznych miarę tego kąta.
Zastosuj zależności trygonometryczne
Następnie zauważ, że kąt odchylenia jest kątem zewnętrznym w trójkącie o kątach ρ, ω, więc jest on równy ich sumie. Podane kąty są z kolei związane z kątami padania i załamania na obu powierzchniach granicznych. Skorzystaj z faktu, że kąt między normalnymi do powierzchni granicznych jest równy kątowi łamiącemu pryzmatu, który z kolei jest kątem zewnętrznym do trójkąta o kątach β i γ, więc równy ich sumie.
Zadanie 16.1.9.
16Zadanie 16.1.15.
17Zadanie 16.2.7.
25Zadanie 16.2.12.
26Zadanie 16.2.16.
27Zadanie 16.3.1.
36Zadanie 16.3.9.
37Zadanie 16.3.13.
38Zadanie 16.3.14.
38Zadanie 16.3.15.
39Zadanie 16.3.17.
40Zadanie 16.5.5.
53Zadanie 16.5.7.
53Zadanie 16.6.3.
59Zadanie 16.6.6.
60Zadanie 16.6.13.
62Zadanie 16.7.1.
66Zadanie 16.7.4.
66Zadanie 16.7.6.
67Zadanie 16.7.9.
68Zadanie 16.7.10.
68Zadanie 16.8.2.
77Zadanie 16.8.3.
78Zadanie 16.8.4.
78Zadanie 16.8.5.
79Zadanie 16.8.9.
80Zadanie 16.8.10.
80Zadanie 16.8.11.
80Zadanie 16.8.12.
80Zadanie 16.8.15.
81Zadanie 16.8.20.
81Zadanie 16.8.21.
81Zadanie 16.8.23.
82Zadanie 16.9.10.
92Zadanie 16.10.14.
103Zadanie 16.12.1.
115Zadanie 16.12.8.
117Zadanie 4.
122Zadanie 5.
122Zadanie 6.
123Zadanie 7.
123