Wiedząc, że na siatkę dyfrakcyjną pada światło białe, a za siatką na ekranie powstaje barwne widmo ciągłe, oznacz zdania podane w treści zadania jako prawdziwe lub fałszywe.
Zdanie 1 – FAŁSZ
Zdanie 2 – PRAWDA
Zdanie 3 – PRAWDA
Zdanie 4 – FAŁSZ
Zdanie 5 – PRAWDA
Zdanie 1:
Światłem białym nazywamy mieszaninę światła o różnych długościach fal. Skoro długość każdej fali jest inna, to także ich częstotliwości różnią się między sobą.
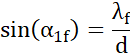
Zdanie 2:
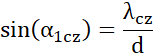
Zgodnie ze wzorem
Zdanie 3:
Wyznaczamy szerokość widma:
Przyjęte oznaczenia:
Skorzystaj z faktu, że stała siatki odpowiada stosunki długości siatki do liczby rys, które się w niej znajdują.
Następnie zastosuj wzór
Ze wzoru można zauważyć, że im większa odległość siatki dyfrakcyjnej od ekranu, tym większa szerokość widma.
Zdanie 4:
Stała siatki to stosunek długości jej fragmentu do liczby rys, której się na niej znajdują. W takim razie można ją obliczyć ze wzoru
Zadanie 16.1.9.
16Zadanie 16.1.15.
17Zadanie 16.2.7.
25Zadanie 16.2.12.
26Zadanie 16.2.16.
27Zadanie 16.3.1.
36Zadanie 16.3.9.
37Zadanie 16.3.13.
38Zadanie 16.3.14.
38Zadanie 16.3.15.
39Zadanie 16.3.17.
40Zadanie 16.5.5.
53Zadanie 16.5.7.
53Zadanie 16.6.3.
59Zadanie 16.6.6.
60Zadanie 16.6.13.
62Zadanie 16.7.1.
66Zadanie 16.7.4.
66Zadanie 16.7.6.
67Zadanie 16.7.9.
68Zadanie 16.7.10.
68Zadanie 16.8.2.
77Zadanie 16.8.3.
78Zadanie 16.8.4.
78Zadanie 16.8.5.
79Zadanie 16.8.9.
80Zadanie 16.8.10.
80Zadanie 16.8.11.
80Zadanie 16.8.12.
80Zadanie 16.8.15.
81Zadanie 16.8.20.
81Zadanie 16.8.21.
81Zadanie 16.8.23.
82Zadanie 16.9.10.
92Zadanie 16.10.14.
103Zadanie 16.12.1.
115Zadanie 16.12.8.
117Zadanie 4.
122Zadanie 5.
122Zadanie 6.
123Zadanie 7.
123