Na podstawie rysunku zamieszczonego w podręczniku oraz danych przedstawionych w treści zadania określ, w którym miejscu przecięłyby się promienie, gdyby układ nie zawierał soczewki.
Rysunek pomocniczy:
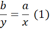
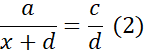
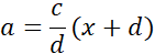
Z równania soczewki:
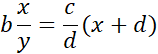
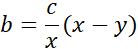
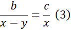
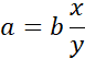
Z własności trójkątów podobnych:
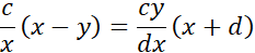
Łącząc zależności (1) i (2):
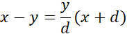
Dodając zależność (3):
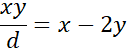
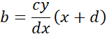
Dodajemy zależność wyznaczoną z równania soczewki:
Na początku wykonaj rysunek pomocniczy. Zaznacz na nim punkt przecięcia promieni bez soczewki, a także wyznacz konstrukcyjnie położenie obrazu przedmiotu. Następnie oblicz odległość obrazu od soczewki, korzystając z równania soczewki. Zapisz zależności geometryczne wynikające z podobieństwa trójkątów (twierdzenia Talesa). Połącz ze sobą zależności wyznaczając wzór na odległość
Zadanie 16.1.9.
16Zadanie 16.1.15.
17Zadanie 16.2.7.
25Zadanie 16.2.12.
26Zadanie 16.2.16.
27Zadanie 16.3.1.
36Zadanie 16.3.9.
37Zadanie 16.3.13.
38Zadanie 16.3.14.
38Zadanie 16.3.15.
39Zadanie 16.3.17.
40Zadanie 16.5.5.
53Zadanie 16.5.7.
53Zadanie 16.6.3.
59Zadanie 16.6.6.
60Zadanie 16.6.13.
62Zadanie 16.7.1.
66Zadanie 16.7.4.
66Zadanie 16.7.6.
67Zadanie 16.7.9.
68Zadanie 16.7.10.
68Zadanie 16.8.2.
77Zadanie 16.8.3.
78Zadanie 16.8.4.
78Zadanie 16.8.5.
79Zadanie 16.8.9.
80Zadanie 16.8.10.
80Zadanie 16.8.11.
80Zadanie 16.8.12.
80Zadanie 16.8.15.
81Zadanie 16.8.20.
81Zadanie 16.8.21.
81Zadanie 16.8.23.
82Zadanie 16.9.10.
92Zadanie 16.10.14.
103Zadanie 16.12.1.
115Zadanie 16.12.8.
117Zadanie 4.
122Zadanie 5.
122Zadanie 6.
123Zadanie 7.
123