Na podstawie danych przedstawionych w treści zadania znajdź wartość prędkości, z jaką porusza się obraz kulki oraz jaki jest kierunek jego ruchu w stosunku do ruchu kulki.
Rysunek pomocniczy:
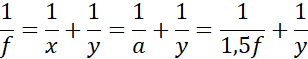
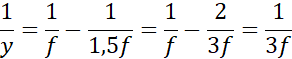
Z równania soczewki:
Z wzoru na powiększenie obrazu:
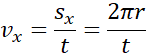
Wiadomo, że kulka porusza się ruchem jednostajnym po okręgu, więc jej prędkość jest równa:
Prędkość obrazu jest równa:
Promienie świetlne wychodzące z kulki przechodzą przez soczewkę i pojawiają się po przeciwnej stronie osi optycznej. Oznacza to, że obraz kulki będzie poruszał się w stronę przeciwną niż przedmiot.
Korzystając z wzoru na powiększenie obrazu, oblicz odległość między obrazem a soczewką. Następnie za pomocą wzoru na powiększenie znajdź zależność opisującą relację między promieniami torów ruchu przedmiotu i obrazu. Na koniec zapisz wzory na prędkość w ruchu jednostajnym po okręgu w dwóch przypadkach i porównaj je ze sobą. Wstaw dane liczbowe i wykonaj obliczenia.
Zadanie 16.1.9.
16Zadanie 16.1.15.
17Zadanie 16.2.7.
25Zadanie 16.2.12.
26Zadanie 16.2.16.
27Zadanie 16.3.1.
36Zadanie 16.3.9.
37Zadanie 16.3.13.
38Zadanie 16.3.14.
38Zadanie 16.3.15.
39Zadanie 16.3.17.
40Zadanie 16.5.5.
53Zadanie 16.5.7.
53Zadanie 16.6.3.
59Zadanie 16.6.6.
60Zadanie 16.6.13.
62Zadanie 16.7.1.
66Zadanie 16.7.4.
66Zadanie 16.7.6.
67Zadanie 16.7.9.
68Zadanie 16.7.10.
68Zadanie 16.8.2.
77Zadanie 16.8.3.
78Zadanie 16.8.4.
78Zadanie 16.8.5.
79Zadanie 16.8.9.
80Zadanie 16.8.10.
80Zadanie 16.8.11.
80Zadanie 16.8.12.
80Zadanie 16.8.15.
81Zadanie 16.8.20.
81Zadanie 16.8.21.
81Zadanie 16.8.23.
82Zadanie 16.9.10.
92Zadanie 16.10.14.
103Zadanie 16.12.1.
115Zadanie 16.12.8.
117Zadanie 4.
122Zadanie 5.
122Zadanie 6.
123Zadanie 7.
123