Wiedząc, że na siatkę pada prostopadła wiązka światła monochromatycznego o długości λ = 625 nm, a prążek drugiego rzędu jest widoczny pod kątem α = 30° oblicz jej stałą oraz podaj, ile rys mieści się na 1 mm jej długości.
DANE:
SZUKANE:
WZÓR:
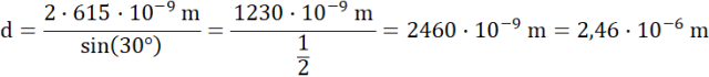
Wyznaczamy stałą siatki dyfrakcyjnej:
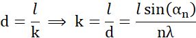
Wyznaczamy liczbę rys:
Przyjęte oznaczenia:
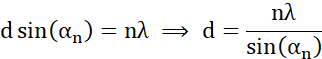
Najpierw oblicz stałą siatki dyfrakcyjnej, wiedząc, że skoro jest widoczny prążek, to dochodzi do wzmocnienia fali. Taka sytuacja ma miejsce, gdy zachodzi relacja
Zadanie 16.1.9.
16Zadanie 16.1.15.
17Zadanie 16.2.7.
25Zadanie 16.2.12.
26Zadanie 16.2.16.
27Zadanie 16.3.1.
36Zadanie 16.3.9.
37Zadanie 16.3.13.
38Zadanie 16.3.14.
38Zadanie 16.3.15.
39Zadanie 16.3.17.
40Zadanie 16.5.5.
53Zadanie 16.5.7.
53Zadanie 16.6.3.
59Zadanie 16.6.6.
60Zadanie 16.6.13.
62Zadanie 16.7.1.
66Zadanie 16.7.4.
66Zadanie 16.7.6.
67Zadanie 16.7.9.
68Zadanie 16.7.10.
68Zadanie 16.8.2.
77Zadanie 16.8.3.
78Zadanie 16.8.4.
78Zadanie 16.8.5.
79Zadanie 16.8.9.
80Zadanie 16.8.10.
80Zadanie 16.8.11.
80Zadanie 16.8.12.
80Zadanie 16.8.15.
81Zadanie 16.8.20.
81Zadanie 16.8.21.
81Zadanie 16.8.23.
82Zadanie 16.9.10.
92Zadanie 16.10.14.
103Zadanie 16.12.1.
115Zadanie 16.12.8.
117Zadanie 4.
122Zadanie 5.
122Zadanie 6.
123Zadanie 7.
123