W sytuacji początkowej, gdy ekran jest oddalony o l = 2 m od pojedynczej szczeliny o szerokości d, przez szczelinę przechodzi monochromatyczne światło o długości fali λ = 570 nm. Oblicz, jak szeroka powinna być szczelina, aby pierwszy ciemny prążek widma dyfrakcyjnego znajdował się na ekranie w odległości y = 6 mm od środka obrazu szczeliny.
DANE:
SZUKANE:
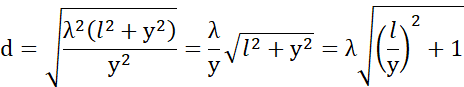
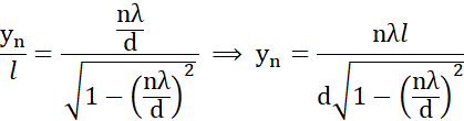
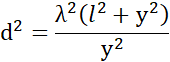
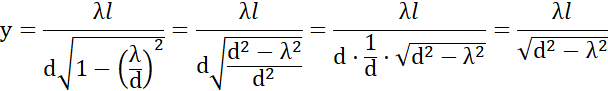
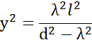
WZÓR:
Wyznaczamy szerokość szczeliny:
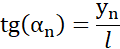
Przyjęte oznaczenia:
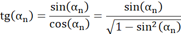
Oblicz szerokość szczeliny, wiedząc, że przyjmowana jest ona dla pierwszego minimum dyfrakcyjnego. Skorzystaj z jedynki trygonometrycznej oraz zależności między funkcjami trygonometrycznymi kąta. Następnie dokonaj przekształceń i wyznacz szukaną wielkość.
Zadanie 16.1.9.
16Zadanie 16.1.15.
17Zadanie 16.2.7.
25Zadanie 16.2.12.
26Zadanie 16.2.16.
27Zadanie 16.3.1.
36Zadanie 16.3.9.
37Zadanie 16.3.13.
38Zadanie 16.3.14.
38Zadanie 16.3.15.
39Zadanie 16.3.17.
40Zadanie 16.5.5.
53Zadanie 16.5.7.
53Zadanie 16.6.3.
59Zadanie 16.6.6.
60Zadanie 16.6.13.
62Zadanie 16.7.1.
66Zadanie 16.7.4.
66Zadanie 16.7.6.
67Zadanie 16.7.9.
68Zadanie 16.7.10.
68Zadanie 16.8.2.
77Zadanie 16.8.3.
78Zadanie 16.8.4.
78Zadanie 16.8.5.
79Zadanie 16.8.9.
80Zadanie 16.8.10.
80Zadanie 16.8.11.
80Zadanie 16.8.12.
80Zadanie 16.8.15.
81Zadanie 16.8.20.
81Zadanie 16.8.21.
81Zadanie 16.8.23.
82Zadanie 16.9.10.
92Zadanie 16.10.14.
103Zadanie 16.12.1.
115Zadanie 16.12.8.
117Zadanie 4.
122Zadanie 5.
122Zadanie 6.
123Zadanie 7.
123