Oblicz długości fal, jakie ulegną wzmocnieniu i wygaszeniu interferencyjnemu w wyniku odbicia fal od dwóch powierzchni błony mydlanej, wiedząc, że bańka mydlana o stałej grubości d = 332 nm jest oświetlana światłem białym padającym prostopadle do jej powierzchni, a współczynnik załamania wody z mydłem jest równy n = 1,33. Rozważ trzy kolejne wzmocnienia i wygaszenia fal.
Dla wzmocnienia interferencyjnego:
Dla wygaszenia interferencyjnego:
1. Długość fali w wodzie jest mniejsza niż w powietrzu:
2. Przy prostopadłym padaniu promienia na powierzchnię różnica dróg przebytych przez promieniowanie jest równa podwójnej grubości warstwy błonki:
3. Przy odbiciu fali od górnej warstwy wody, czyli od powierzchni o większym współczynniku załamania, zachodzi zmiana fazy o
Wykorzystując informacje 1-3 we wzorze na wzmocnienie otrzymujemy warunek powstawania interferencji konstruktywnej:
Uwzględniamy zmianę fazy, czyli zmianę różnicy dróg o połowę długości fali:
Dla trzech kolejnych wzmocnień:
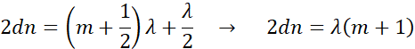
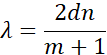
Wykorzystując informacje 1-3 we wzorze na wzmocnienie otrzymujemy warunek powstawania interferencji destruktywnej:
Uwzględniamy zmianę fazy, czyli zmianę różnicy dróg o połowę długości fali:
Dla trzech kolejnych wygaszeń:
Na początku zapisz wzory dla interferencji konstruktywnej i destruktywnej. Przypomnij sobie zasady zachowania fali na granicy ośrodków i na ich podstawie wyznacz zależności dla długości fali padającej na bańkę mydlaną. Wstaw odpowiednie dane i wykonaj obliczenia.
Zadanie 16.1.9.
16Zadanie 16.1.15.
17Zadanie 16.2.7.
25Zadanie 16.2.12.
26Zadanie 16.2.16.
27Zadanie 16.3.1.
36Zadanie 16.3.9.
37Zadanie 16.3.13.
38Zadanie 16.3.14.
38Zadanie 16.3.15.
39Zadanie 16.3.17.
40Zadanie 16.5.5.
53Zadanie 16.5.7.
53Zadanie 16.6.3.
59Zadanie 16.6.6.
60Zadanie 16.6.13.
62Zadanie 16.7.1.
66Zadanie 16.7.4.
66Zadanie 16.7.6.
67Zadanie 16.7.9.
68Zadanie 16.7.10.
68Zadanie 16.8.2.
77Zadanie 16.8.3.
78Zadanie 16.8.4.
78Zadanie 16.8.5.
79Zadanie 16.8.9.
80Zadanie 16.8.10.
80Zadanie 16.8.11.
80Zadanie 16.8.12.
80Zadanie 16.8.15.
81Zadanie 16.8.20.
81Zadanie 16.8.21.
81Zadanie 16.8.23.
82Zadanie 16.9.10.
92Zadanie 16.10.14.
103Zadanie 16.12.1.
115Zadanie 16.12.8.
117Zadanie 4.
122Zadanie 5.
122Zadanie 6.
123Zadanie 7.
123