Na podstawie danych przedstawionych w treści zadania oblicz prędkość światła wynikającą z przeprowadzonego eksperymentu.
DANE:
SZUKANE:
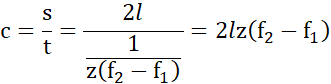
WZÓR:
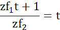
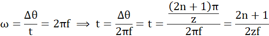
Wyznaczamy prędkość światła:
Przyjęte oznaczenia:
Oblicz, o ile procent wynik z podpunktu a) jest większy od rzeczywistej wartości prędkości światła, czyli stosunek
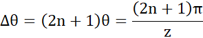
Najpierw wyznacz z proporcji kąt obrotu jednego zęba tarczy, wiedząc, że ma taką samą ilość zębów jak i szczelin między nimi, a cała tarcza zakreśla kąt 2π. Następnie oblicz kąt obrotu między następnymi dwoma zębami (odpowiada to nieparzystej wielokrotności kąta obrotu). Kolejno określ czas trwania ruchu (obrotu tarczy, której szybkość kątowa jest stała) dla dwóch podanych częstotliwości obrotu. Znając ten czas oblicz wartość prędkości światła jako stosunek pokonanej przez nie drogi i czasu, w którym to nastąpiło.
Zadanie 16.1.9.
16Zadanie 16.1.15.
17Zadanie 16.2.7.
25Zadanie 16.2.12.
26Zadanie 16.2.16.
27Zadanie 16.3.1.
36Zadanie 16.3.9.
37Zadanie 16.3.13.
38Zadanie 16.3.14.
38Zadanie 16.3.15.
39Zadanie 16.3.17.
40Zadanie 16.5.5.
53Zadanie 16.5.7.
53Zadanie 16.6.3.
59Zadanie 16.6.6.
60Zadanie 16.6.13.
62Zadanie 16.7.1.
66Zadanie 16.7.4.
66Zadanie 16.7.6.
67Zadanie 16.7.9.
68Zadanie 16.7.10.
68Zadanie 16.8.2.
77Zadanie 16.8.3.
78Zadanie 16.8.4.
78Zadanie 16.8.5.
79Zadanie 16.8.9.
80Zadanie 16.8.10.
80Zadanie 16.8.11.
80Zadanie 16.8.12.
80Zadanie 16.8.15.
81Zadanie 16.8.20.
81Zadanie 16.8.21.
81Zadanie 16.8.23.
82Zadanie 16.9.10.
92Zadanie 16.10.14.
103Zadanie 16.12.1.
115Zadanie 16.12.8.
117Zadanie 4.
122Zadanie 5.
122Zadanie 6.
123Zadanie 7.
123