W tym zadaniu musisz obliczyć napięcie pierwotnego uzwojenia transformatora.
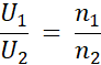
Dla transformatora stosunek napięć jest równy stosunkowi liczby zwojów uzwojenia pierwotnego i wtórnego.
Zadanie 13.1
Zadanie 13.2
Zadanie 13.3.
Zadanie 13.4.
Zadanie 13.5.
Zadanie 13.6.
Zadanie 13.7.
Zadanie 13.8.
Zadanie 13.9.
Zadanie 13.10.
Zadanie 13.11.
Zadanie 13.12.
Zadanie 13.13.
Zadanie 13.14.
Zadanie 13.15.
Zadanie 13.16.
Zadanie 13.17.
Zadanie 13.18.
Zadanie 13.19.
Zadanie 13.20.
Zadanie 13.21.
Zadanie 13.22.
Zadanie 13.23.
Zadanie 13.24.
Zadanie 13.25.
Zadanie 13.26.
Zadanie 13.27.
Zadanie 13.28.
Zadanie 13.29.
Zadanie 13.30.
Zadanie 13.31.
Zadanie 13.32.
Zadanie 13.33.
Zadanie 13.34.
Zadanie 13.35.
Zadanie 13.36.
Zadanie 13.37.
Zadanie 13.38.
Zadanie 13.39.
Zadanie 13.40.
Zadanie 13.41.
Zadanie 13.42.
Zadanie 13.43.
Zadanie 13.44.
Zadanie 13.45.
Zadanie 13.46.
Zadanie 13.47.
Zadanie 13.48.
Zadanie 13.49.
Zadanie 13.50.
Zadanie 13.51.
Zadanie 13.52.
Zadanie 13.53.
Zadanie 13.54.
Zadanie 13.55.
Zadanie 13.56.
Zadanie 13.57.
Zadanie 13.58.
Zadanie 13.59.
Zadanie 13.60.
Zadanie 13.61.
Zadanie 13.63.
Zadanie 13.64.
Zadanie 13.65.
Zadanie 13.66.
Zadanie 13.67.
Zadanie 13.68.
Zadanie 13.69.
Zadanie 13.70.
Zadanie 13.71.
Zadanie 13.72.
Zadanie 13.73.