W tym zadaniu musisz obliczyć, z ilu zwojów składa się wtórne uzwojenie transformatora.
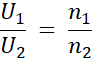
Dla transformatora stosunek napięć jest równy stosunkowi liczby zwojów uzwojenia pierwotnego i wtórnego.
Zadanie 13.1
Zadanie 13.2
Zadanie 13.3.
Zadanie 13.4.
Zadanie 13.5.
Zadanie 13.6.
Zadanie 13.7.
Zadanie 13.8.
Zadanie 13.9.
Zadanie 13.10.
Zadanie 13.11.
Zadanie 13.12.
Zadanie 13.13.
Zadanie 13.14.
Zadanie 13.15.
Zadanie 13.16.
Zadanie 13.17.
Zadanie 13.18.
Zadanie 13.19.
Zadanie 13.20.
Zadanie 13.21.
Zadanie 13.22.
Zadanie 13.23.
Zadanie 13.24.
Zadanie 13.25.
Zadanie 13.26.
Zadanie 13.27.
Zadanie 13.28.
Zadanie 13.29.
Zadanie 13.30.
Zadanie 13.31.
Zadanie 13.32.
Zadanie 13.33.
Zadanie 13.34.
Zadanie 13.35.
Zadanie 13.36.
Zadanie 13.37.
Zadanie 13.38.
Zadanie 13.39.
Zadanie 13.40.
Zadanie 13.41.
Zadanie 13.42.
Zadanie 13.43.
Zadanie 13.44.
Zadanie 13.45.
Zadanie 13.46.
Zadanie 13.47.
Zadanie 13.48.
Zadanie 13.49.
Zadanie 13.50.
Zadanie 13.51.
Zadanie 13.52.
Zadanie 13.53.
Zadanie 13.54.
Zadanie 13.55.
Zadanie 13.56.
Zadanie 13.57.
Zadanie 13.58.
Zadanie 13.59.
Zadanie 13.60.
Zadanie 13.61.
Zadanie 13.63.
Zadanie 13.64.
Zadanie 13.65.
Zadanie 13.66.
Zadanie 13.67.
Zadanie 13.68.
Zadanie 13.69.
Zadanie 13.70.
Zadanie 13.71.
Zadanie 13.72.
Zadanie 13.73.