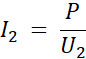
W tym zadaniu musisz odpowiedzieć, czy bezpiecznik topikowy spawarki nie stopi się przy zabezpieczeniu instalacji o podanym napięciu.
Bezpiecznik stopi się.
Obliczone natężenie przekroczy dopuszczalne natężenie dla bezpiecznika, dlatego bezpiecznik stopi się.
Zadanie 13.1
Zadanie 13.2
Zadanie 13.3.
Zadanie 13.4.
Zadanie 13.5.
Zadanie 13.6.
Zadanie 13.7.
Zadanie 13.8.
Zadanie 13.9.
Zadanie 13.10.
Zadanie 13.11.
Zadanie 13.12.
Zadanie 13.13.
Zadanie 13.14.
Zadanie 13.15.
Zadanie 13.16.
Zadanie 13.17.
Zadanie 13.18.
Zadanie 13.19.
Zadanie 13.20.
Zadanie 13.21.
Zadanie 13.22.
Zadanie 13.23.
Zadanie 13.24.
Zadanie 13.25.
Zadanie 13.26.
Zadanie 13.27.
Zadanie 13.28.
Zadanie 13.29.
Zadanie 13.30.
Zadanie 13.31.
Zadanie 13.32.
Zadanie 13.33.
Zadanie 13.34.
Zadanie 13.35.
Zadanie 13.36.
Zadanie 13.37.
Zadanie 13.38.
Zadanie 13.39.
Zadanie 13.40.
Zadanie 13.41.
Zadanie 13.42.
Zadanie 13.43.
Zadanie 13.44.
Zadanie 13.45.
Zadanie 13.46.
Zadanie 13.47.
Zadanie 13.48.
Zadanie 13.49.
Zadanie 13.50.
Zadanie 13.51.
Zadanie 13.52.
Zadanie 13.53.
Zadanie 13.54.
Zadanie 13.55.
Zadanie 13.56.
Zadanie 13.57.
Zadanie 13.58.
Zadanie 13.59.
Zadanie 13.60.
Zadanie 13.61.
Zadanie 13.63.
Zadanie 13.64.
Zadanie 13.65.
Zadanie 13.66.
Zadanie 13.67.
Zadanie 13.68.
Zadanie 13.69.
Zadanie 13.70.
Zadanie 13.71.
Zadanie 13.72.
Zadanie 13.73.