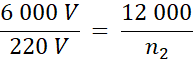
W tym zadaniu musisz obliczyć liczbę zwojów wtórnego uzwojenia, aby obniżyć napięcie do 220 V.
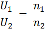
Dla transformatora stosunek napięć jest równy stosunkowi liczby zwojów uzwojenia pierwotnego i wtórnego.
Zadanie 13.1
Zadanie 13.2
Zadanie 13.3.
Zadanie 13.4.
Zadanie 13.5.
Zadanie 13.6.
Zadanie 13.7.
Zadanie 13.8.
Zadanie 13.9.
Zadanie 13.10.
Zadanie 13.11.
Zadanie 13.12.
Zadanie 13.13.
Zadanie 13.14.
Zadanie 13.15.
Zadanie 13.16.
Zadanie 13.17.
Zadanie 13.18.
Zadanie 13.19.
Zadanie 13.20.
Zadanie 13.21.
Zadanie 13.22.
Zadanie 13.23.
Zadanie 13.24.
Zadanie 13.25.
Zadanie 13.26.
Zadanie 13.27.
Zadanie 13.28.
Zadanie 13.29.
Zadanie 13.30.
Zadanie 13.31.
Zadanie 13.32.
Zadanie 13.33.
Zadanie 13.34.
Zadanie 13.35.
Zadanie 13.36.
Zadanie 13.37.
Zadanie 13.38.
Zadanie 13.39.
Zadanie 13.40.
Zadanie 13.41.
Zadanie 13.42.
Zadanie 13.43.
Zadanie 13.44.
Zadanie 13.45.
Zadanie 13.46.
Zadanie 13.47.
Zadanie 13.48.
Zadanie 13.49.
Zadanie 13.50.
Zadanie 13.51.
Zadanie 13.52.
Zadanie 13.53.
Zadanie 13.54.
Zadanie 13.55.
Zadanie 13.56.
Zadanie 13.57.
Zadanie 13.58.
Zadanie 13.59.
Zadanie 13.60.
Zadanie 13.61.
Zadanie 13.63.
Zadanie 13.64.
Zadanie 13.65.
Zadanie 13.66.
Zadanie 13.67.
Zadanie 13.68.
Zadanie 13.69.
Zadanie 13.70.
Zadanie 13.71.
Zadanie 13.72.
Zadanie 13.73.