Skul.pl
  • Opracowania zadań z podręczników
  • Fizyka. Klasa 1. Podręcznik. Zakres podstawowy - rozwiązania i odpowiedzi
  • Zadanie 4.

Fizyka. Klasa 1. Podręcznik. Zakres podstawowy - rozwiązania i odpowiedzi

Podręcznik, Wydawnictwo: WSiP
Poprzednie

Zadanie 4. - strona 11

Następne

Zadanie

Musimy obliczyć niepewności bezwzględne obu pomiarów, a następnie je porównać.

Rozwiązanie

Skul

Wyjaśnienie

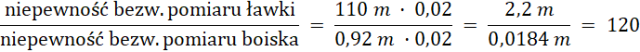
Niepewność bezwzględna jest iloczynem niepewności względnej i wartości rzeczywistej, a więc niepewności pomiaru ławki i boiska wyniosą odpowiednio 2,2 m oraz 0,0184 m. Stosunek wartości pierwszej do drugiej wynosi 120.

Poprzednie
Następne

Fizyka - wybrane pytania

Ćwiczenie 1., strona 36, Fizyka z plusem. Klasa 8. Podręcznik - rozwiązania i odpowiedzi
Ćwiczenie doświadczenie 3., strona 43, Fizyka. To jest fizyka. Klasa 8. Podręcznik - rozwiązania i odpowiedzi
Zadanie To warto umieć 4., strona 182, Odkryć fizykę. Klasa 3. Zakres podstawowy. Podręcznik - rozwiązania i odpowiedzi
Zadanie 2, strona 15, Sprawdziany Fizyka. Klasa 7-8. Zbiór zadań - rozwiązania i odpowiedzi
Zadanie 2., strona 247, Odkryć fizykę. Klasa 3. Zakres podstawowy. Podręcznik - rozwiązania i odpowiedzi
Ćwiczenie 12.5., strona 35, Świat fizyki. Klasa 8. Zbiór zadań - rozwiązania i odpowiedzi
Ćwiczenie 9.35., strona 132, Fizyka. Klasa 1-3. Zakres podstawowy. Zbiór zadań - rozwiązania i odpowiedzi
Ćwiczenie 40.16, strona 184, Fizyka. Klasa 3. Zakres rozszerzony. Zbiór zadań - rozwiązania i odpowiedzi
Ćwiczenie Ćwiczenie B., strona 82, To jest fizyka. Klasa 7. Podręcznik - rozwiązania i odpowiedzi
Zadanie 2, strona 298, Zrozumieć fizykę. Klasa 4. Poziom rozszerzony. Podręcznik - rozwiązania i odpowiedzi
REKLAMA
Skul
Zadania z tego działu
Kinematyka
5
Niepewności pomiarowe, cyfry znaczące
6

Zadanie 1.

11

Podpunkt a)

11

Podpunkt b)

11

Zadanie 2.

11

Podpunkt a)

11

Podpunkt b)

11

Podpunkt c)

11

Zadanie 3.

11

Podpunkt a)

11

Podpunkt b)

11

Podpunkt c)

11

Zadanie 4.

11

Zadanie 5.

11
Opis ruchu
12

Zadanie 1.

22

Zadanie 2.

22

Zadanie 3.

22

Zadanie 4.

22

Zadanie 5.

22
Ruch zmienny
23

Zadanie 1.

31

Zadanie 2.

31

Zadanie 3.

31

Podpunkt a)

31

Podpunkt b)

31

Zadanie 4.

31

Zadanie 5.

31
Droga w ruchu jednostajnym i zmiennym
32

Zadanie 1.

38

Zadanie 2.

38

Podpunkt a)

38

Podpunkt b)

38

Zadanie 3.

38

Zadanie 4.

38

Zadanie 5.

38
Powtórzenie działu
39

Zadanie 1.

41

Zadanie 2.

41

Zadanie 3.

41

Podpunkt a)

41

Podpunkt b)

41

Zadanie 4.

41

Zadanie 5.

41

Podpunkt a)

41

Podpunkt b)

41
Pełny spis treści
Skul
Artboard 1
Skul.pl
  • Napisz do nas
  • FAQ
  • Mapa Serwisu
  • Google Play
  • App Store

Korzystanie z portalu oznacza akceptację Regulaminu.
Polityka prywatności. Ustawienia preferencji. Copyright: INTERIA.PL 1999-2023 Wszystkie prawa zastrzeżone.