Skul.pl
  • Opracowania zadań z podręczników
  • Fizyka. Klasa 1. Podręcznik. Zakres podstawowy - rozwiązania i odpowiedzi
  • Podpunkt b)

Fizyka. Klasa 1. Podręcznik. Zakres podstawowy - rozwiązania i odpowiedzi

Podręcznik, Wydawnictwo: WSiP
Poprzednie

Zadanie 5., b) - strona 41

Następne

Zadanie

Ile zajmie Zosi pokonanie odległości na jakiej Staszek poruszał się ruchem opóźnionym, ile zajęła ona Staszkowi oraz jaka jest różnica?

Rozwiązanie

Staszek będzie czekać na Zosię 12 sekund.

Skul

Wyjaśnienie

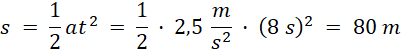
Odległość pokonana przez Staszka:

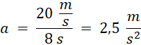
Czas w jakim pokonuje ją Zosia:

Czas przez jaki Staszek będzie czekać: 20 s – 8 s = 12 s

Poprzednie

Fizyka - wybrane pytania

Zadanie 3., strona 208, Fizyka. Klasa 2. Podręcznik. Zakres podstawowy - rozwiązania i odpowiedzi
Zadanie 14.40., strona 198, Fizyka. Klasa 7-8. Zbiór zadań - rozwiązania i odpowiedzi
Ćwiczenie 2.10., strona 22, Fizyka. Klasa 1-3. Zakres podstawowy. Zbiór zadań - rozwiązania i odpowiedzi
Zadanie 13.7.8., strona 197, Zrozumieć fizykę 3. Zakres rozszerzony. Zbiór zadań - rozwiązania i odpowiedz.
Zadanie 26.10., strona 91, Zbiór zadań z fizyki dla szkoły podstawowej. Klasa 7-8 - rozwiązania i odpowiedzi
Zadanie 1., strona 88, Świat fizyki. Klasa 7. Podręcznik - rozwiązania i odpowiedzi
Zadanie 9, strona 64, Fizyka. Klasa 3. Zakres podstawowy. Podręcznik - rozwiązania i odpowiedzi
Ćwiczenie 8.52., strona 122, Fizyka. Klasa 1-3. Zakres podstawowy. Zbiór zadań - rozwiązania i odpowiedzi
Ćwiczenie 1, strona 254, Zrozumieć fizykę. Klasa 4. Poziom rozszerzony. Podręcznik - rozwiązania i odpowiedzi
Zadanie 6, strona 190, Zrozumieć fizykę. Klasa 3. Zakres rozszerzony. Podręcznik - rozwiązania i odpowiedzi
REKLAMA
Skul
Zadania z tego działu
Kinematyka
5
Niepewności pomiarowe, cyfry znaczące
6

Zadanie 1.

11

Podpunkt a)

11

Podpunkt b)

11

Zadanie 2.

11

Podpunkt a)

11

Podpunkt b)

11

Podpunkt c)

11

Zadanie 3.

11

Podpunkt a)

11

Podpunkt b)

11

Podpunkt c)

11

Zadanie 4.

11

Zadanie 5.

11
Opis ruchu
12

Zadanie 1.

22

Zadanie 2.

22

Zadanie 3.

22

Zadanie 4.

22

Zadanie 5.

22
Ruch zmienny
23

Zadanie 1.

31

Zadanie 2.

31

Zadanie 3.

31

Podpunkt a)

31

Podpunkt b)

31

Zadanie 4.

31

Zadanie 5.

31
Droga w ruchu jednostajnym i zmiennym
32

Zadanie 1.

38

Zadanie 2.

38

Podpunkt a)

38

Podpunkt b)

38

Zadanie 3.

38

Zadanie 4.

38

Zadanie 5.

38
Powtórzenie działu
39

Zadanie 1.

41

Zadanie 2.

41

Zadanie 3.

41

Podpunkt a)

41

Podpunkt b)

41

Zadanie 4.

41

Zadanie 5.

41

Podpunkt a)

41

Podpunkt b)

41
Pełny spis treści
Skul
Artboard 1
Skul.pl
  • Napisz do nas
  • FAQ
  • Mapa Serwisu
  • Google Play
  • App Store

Korzystanie z portalu oznacza akceptację Regulaminu.
Polityka prywatności. Ustawienia preferencji. Copyright: INTERIA.PL 1999-2023 Wszystkie prawa zastrzeżone.