Skul.pl
  • Opracowania zadań z podręczników
  • Fizyka. Klasa 1. Podręcznik. Zakres podstawowy - rozwiązania i odpowiedzi
  • Zadanie 4.

Fizyka. Klasa 1. Podręcznik. Zakres podstawowy - rozwiązania i odpowiedzi

Podręcznik, Wydawnictwo: WSiP
Poprzednie

Zadanie 4. - strona 22

Następne

Zadanie

Należy obliczyć całkowity czas podróży ze Świnoujścia do Przemyśla, sumując czasy poszczególnych etapów.

Rozwiązanie

12 h 10 min

Skul

Wyjaśnienie

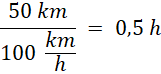
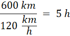
Czas jazdy autostradą:

Czas jazdy drogą ekspresową:

Czas jazdy pozostałymi drogami:

Łączy czas (bez postojów):

Co około dwie godziny zatrzymujemy się na postój, a więc ilość wszystkich postoi wyniesie 5.

Łączny czas (wliczając postoje):

Poprzednie
Następne

Fizyka - wybrane pytania

Zadanie 14.1., strona 56, Zbiór zadań z fizyki dla szkoły podstawowej. Klasa 7-8 - rozwiązania i odpowiedzi
Ćwiczenie 7.45., strona 10, Świat fizyki. Klasa 8. Zbiór zadań - rozwiązania i odpowiedzi
Zadanie 20.13, strona 116, Fizyka. Klasa 4. Zakres rozszerzony. Zbiór zadań - rozwiązania i odpowiedzi
Zadanie 6., strona 188, Fizyka. Klasa 7-8. Zbiór zadań - rozwiązania i odpowiedzi
Zadanie 3., strona 98, To jest fizyka. Klasa 7. Zeszyt ćwiczeń - rozwiązania i odpowiedzi
Ćwiczenie 2., strona 15, Fizyka. Klasa 7. Zeszyt ćwiczeń – rozwiązania i odpowiedzi
Zadanie 2, strona 23, Spotkania z fizyką. Klasa 7. Zeszyt ćwiczeń - rozwiązania i odpowiedzi
Zadanie 5, strona 159, Zrozumieć fizykę. Klasa 4. Poziom rozszerzony. Podręcznik - rozwiązania i odpowiedzi
Ćwiczenie 35.6, strona 174, Fizyka. Klasa 3. Zakres rozszerzony. Zbiór zadań - rozwiązania i odpowiedzi
Pytanie 7.9, strona 51, Fizyka. Klasa 4. Zakres rozszerzony. Zbiór zadań - rozwiązania i odpowiedzi
REKLAMA
Skul
Zadania z tego działu
Kinematyka
5
Niepewności pomiarowe, cyfry znaczące
6

Zadanie 1.

11

Podpunkt a)

11

Podpunkt b)

11

Zadanie 2.

11

Podpunkt a)

11

Podpunkt b)

11

Podpunkt c)

11

Zadanie 3.

11

Podpunkt a)

11

Podpunkt b)

11

Podpunkt c)

11

Zadanie 4.

11

Zadanie 5.

11
Opis ruchu
12

Zadanie 1.

22

Zadanie 2.

22

Zadanie 3.

22

Zadanie 4.

22

Zadanie 5.

22
Ruch zmienny
23

Zadanie 1.

31

Zadanie 2.

31

Zadanie 3.

31

Podpunkt a)

31

Podpunkt b)

31

Zadanie 4.

31

Zadanie 5.

31
Droga w ruchu jednostajnym i zmiennym
32

Zadanie 1.

38

Zadanie 2.

38

Podpunkt a)

38

Podpunkt b)

38

Zadanie 3.

38

Zadanie 4.

38

Zadanie 5.

38
Powtórzenie działu
39

Zadanie 1.

41

Zadanie 2.

41

Zadanie 3.

41

Podpunkt a)

41

Podpunkt b)

41

Zadanie 4.

41

Zadanie 5.

41

Podpunkt a)

41

Podpunkt b)

41
Pełny spis treści
Skul
Artboard 1
Skul.pl
  • Napisz do nas
  • FAQ
  • Mapa Serwisu
  • Google Play
  • App Store

Korzystanie z portalu oznacza akceptację Regulaminu.
Polityka prywatności. Ustawienia preferencji. Copyright: INTERIA.PL 1999-2023 Wszystkie prawa zastrzeżone.