Skul.pl
  • Opracowania zadań z podręczników
  • Fizyka. Klasa 1. Podręcznik. Zakres podstawowy - rozwiązania i odpowiedzi
  • Zadanie 5.

Fizyka. Klasa 1. Podręcznik. Zakres podstawowy - rozwiązania i odpowiedzi

Podręcznik, Wydawnictwo: WSiP
Poprzednie

Zadanie 5. - strona 38

Następne

Zadanie

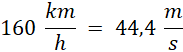
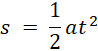
Na jakiej drodze zatrzyma się pociąg, jeśli prędkość początkowa wynosi , a opóźnienie ?

Rozwiązanie

Hamowanie powinno rozpocząć się minimalnie 492 metry przed dworcem.

Skul

Wyjaśnienie

Poprzednie
Następne

Fizyka - wybrane pytania

Zadanie 1., strona 102, Fizyka z plusem. Klasa 8. Podręcznik - rozwiązania i odpowiedzi
Ćwiczenie Ćwiczenie B., strona 205, To jest fizyka. Klasa 7. Podręcznik - rozwiązania i odpowiedzi
Ćwiczenie 7.80., strona 111, Fizyka. Klasa 1-3. Zakres podstawowy. Zbiór zadań - rozwiązania i odpowiedzi
Zadanie 3.11., strona 108, Zrozumieć fizykę. Klasa 1. Zakres rozszerzony. Zbiór zadań - rozwiązania i odpowiedzi
Zadanie 15, strona 22, Fizyka. Klasy 1-3. Zakres podstawowy. Zbiór zadań - rozwiązania i odpowiedzi
Zadanie 3., strona 29, Fizyka. Klasa 2. Podręcznik. Zakres podstawowy - rozwiązania i odpowiedzi
Zadanie 4., strona 197, Odkryć fizykę. Klasa 2. Podręcznik. Zakres podstawowy - rozwiązania i odpowiedzi
Zadanie 2, strona 35, Fizyka. Klasy 1-3. Zakres podstawowy. Zbiór zadań - rozwiązania i odpowiedzi
Zadanie 2.20., strona 18, Świat fizyki. Klasa 7. Zbiór zadań - rozwiązania i odpowiedzi
Zadanie 5.10., strona 55, Fizyka. Klasa 7-8. Zbiór zadań - rozwiązania i odpowiedzi
REKLAMA
Skul
Zadania z tego działu
Kinematyka
5
Niepewności pomiarowe, cyfry znaczące
6

Zadanie 1.

11

Podpunkt a)

11

Podpunkt b)

11

Zadanie 2.

11

Podpunkt a)

11

Podpunkt b)

11

Podpunkt c)

11

Zadanie 3.

11

Podpunkt a)

11

Podpunkt b)

11

Podpunkt c)

11

Zadanie 4.

11

Zadanie 5.

11
Opis ruchu
12

Zadanie 1.

22

Zadanie 2.

22

Zadanie 3.

22

Zadanie 4.

22

Zadanie 5.

22
Ruch zmienny
23

Zadanie 1.

31

Zadanie 2.

31

Zadanie 3.

31

Podpunkt a)

31

Podpunkt b)

31

Zadanie 4.

31

Zadanie 5.

31
Droga w ruchu jednostajnym i zmiennym
32

Zadanie 1.

38

Zadanie 2.

38

Podpunkt a)

38

Podpunkt b)

38

Zadanie 3.

38

Zadanie 4.

38

Zadanie 5.

38
Powtórzenie działu
39

Zadanie 1.

41

Zadanie 2.

41

Zadanie 3.

41

Podpunkt a)

41

Podpunkt b)

41

Zadanie 4.

41

Zadanie 5.

41

Podpunkt a)

41

Podpunkt b)

41
Pełny spis treści
Skul
Artboard 1
Skul.pl
  • Napisz do nas
  • FAQ
  • Mapa Serwisu
  • Google Play
  • App Store

Korzystanie z portalu oznacza akceptację Regulaminu.
Polityka prywatności. Ustawienia preferencji. Copyright: INTERIA.PL 1999-2023 Wszystkie prawa zastrzeżone.