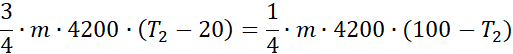
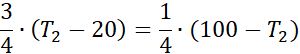
W tym zadaniu musisz obliczyć nową temperaturę herbaty.
Bilans:
Energia:
Gdzie:
m – masa, cw – ciepło właściwe, ΔT – zmiana temperatury
Ćwiczenie 7.1.
Ćwiczenie 7.2.
Ćwiczenie 7.3.
Ćwiczenie 7.4.
Ćwiczenie 7.5.
Ćwiczenie 7.6.
Ćwiczenie 7.7.
Podpunkt a)
Podpunkt b)
Ćwiczenie 7.8.
Ćwiczenie 7.9.
Ćwiczenie 7.10.
Ćwiczenie 7.11.
Ćwiczenie 7.12.
Ćwiczenie 7.13.
Ćwiczenie 7.14.
Ćwiczenie 7.15.
Ćwiczenie 7.16.
Ćwiczenie 7.17.
Ćwiczenie 7.18.
Ćwiczenie 7.19.
Ćwiczenie 7.20.
Ćwiczenie 7.21.
Ćwiczenie 7.22.
Ćwiczenie 7.23.
Ćwiczenie 7.24.
Ćwiczenie 7.25.
Ćwiczenie 7.26.
Ćwiczenie 7.27.
Ćwiczenie 7.28.
Ćwiczenie 7.29.
Ćwiczenie 7.30.
Ćwiczenie 7.31.
Ćwiczenie 7.32.
Ćwiczenie 7.33.
Ćwiczenie 7.34.
Ćwiczenie 7.35.
Ćwiczenie 7.36.
Ćwiczenie 7.37.
Ćwiczenie 7.38.
Ćwiczenie 7.39.
Ćwiczenie 7.40.
Ćwiczenie 7.41.
Ćwiczenie 7.42.
Ćwiczenie 7.43.
Ćwiczenie 7.44.
Ćwiczenie 7.45.
Ćwiczenie 7.46.
Ćwiczenie 7.47.
Ćwiczenie 7.48.
Ćwiczenie 7.49.
Ćwiczenie 7.50.
Ćwiczenie 7.51.
Ćwiczenie 7.52.
Ćwiczenie 7.53.
Ćwiczenie 7.54.
Ćwiczenie 7.55.
Ćwiczenie 7.56.
Ćwiczenie 7.57.
Ćwiczenie 7.58.
Ćwiczenie 7.59.
Ćwiczenie 7.60.
Ćwiczenie 7.61.
Ćwiczenie 7.62.
Ćwiczenie 7.63.
Ćwiczenie 7.64.
Ćwiczenie 7.65.
Ćwiczenie 7.66.
Ćwiczenie 7.67.
Ćwiczenie 7.68.
Ćwiczenie 7.69.
Ćwiczenie 7.70.
Ćwiczenie 7.71.
Ćwiczenie 7.72.
Ćwiczenie 7.73.
Ćwiczenie 7.74.
Ćwiczenie 7.75.
Ćwiczenie 7.76.
Ćwiczenie 7.77.
Ćwiczenie 7.78.
Ćwiczenie 7.79.
Ćwiczenie 7.80.