W tym zadaniu musisz wykonać obliczenia.
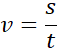
Prędkość:
Gdzie:
s – droga, t - czas
Ćwiczenie 7.1.
Ćwiczenie 7.2.
Ćwiczenie 7.3.
Ćwiczenie 7.4.
Ćwiczenie 7.5.
Ćwiczenie 7.6.
Ćwiczenie 7.7.
Podpunkt a)
Podpunkt b)
Ćwiczenie 7.8.
Ćwiczenie 7.9.
Ćwiczenie 7.10.
Ćwiczenie 7.11.
Ćwiczenie 7.12.
Ćwiczenie 7.13.
Ćwiczenie 7.14.
Ćwiczenie 7.15.
Ćwiczenie 7.16.
Ćwiczenie 7.17.
Ćwiczenie 7.18.
Ćwiczenie 7.19.
Ćwiczenie 7.20.
Ćwiczenie 7.21.
Ćwiczenie 7.22.
Ćwiczenie 7.23.
Ćwiczenie 7.24.
Ćwiczenie 7.25.
Ćwiczenie 7.26.
Ćwiczenie 7.27.
Ćwiczenie 7.28.
Ćwiczenie 7.29.
Ćwiczenie 7.30.
Ćwiczenie 7.31.
Ćwiczenie 7.32.
Ćwiczenie 7.33.
Ćwiczenie 7.34.
Ćwiczenie 7.35.
Ćwiczenie 7.36.
Ćwiczenie 7.37.
Ćwiczenie 7.38.
Ćwiczenie 7.39.
Ćwiczenie 7.40.
Ćwiczenie 7.41.
Ćwiczenie 7.42.
Ćwiczenie 7.43.
Ćwiczenie 7.44.
Ćwiczenie 7.45.
Ćwiczenie 7.46.
Ćwiczenie 7.47.
Ćwiczenie 7.48.
Ćwiczenie 7.49.
Ćwiczenie 7.50.
Ćwiczenie 7.51.
Ćwiczenie 7.52.
Ćwiczenie 7.53.
Ćwiczenie 7.54.
Ćwiczenie 7.55.
Ćwiczenie 7.56.
Ćwiczenie 7.57.
Ćwiczenie 7.58.
Ćwiczenie 7.59.
Ćwiczenie 7.60.
Ćwiczenie 7.61.
Ćwiczenie 7.62.
Ćwiczenie 7.63.
Ćwiczenie 7.64.
Ćwiczenie 7.65.
Ćwiczenie 7.66.
Ćwiczenie 7.67.
Ćwiczenie 7.68.
Ćwiczenie 7.69.
Ćwiczenie 7.70.
Ćwiczenie 7.71.
Ćwiczenie 7.72.
Ćwiczenie 7.73.
Ćwiczenie 7.74.
Ćwiczenie 7.75.
Ćwiczenie 7.76.
Ćwiczenie 7.77.
Ćwiczenie 7.78.
Ćwiczenie 7.79.
Ćwiczenie 7.80.