W tym zadaniu musisz obliczyć, o ile nastąpi wzrost temperatury klocków hamulcowych.
Energia kinetyczna jest równa energii wewnętrznej.
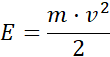
Energia kinetyczna:
Gdzie:
m – masa ciała, v - prędkość
Energia:
m – masa, cw – ciepło właściwe, ΔT – zmiana temperatury
Ćwiczenie 7.1.
Ćwiczenie 7.2.
Ćwiczenie 7.3.
Ćwiczenie 7.4.
Ćwiczenie 7.5.
Ćwiczenie 7.6.
Ćwiczenie 7.7.
Podpunkt a)
Podpunkt b)
Ćwiczenie 7.8.
Ćwiczenie 7.9.
Ćwiczenie 7.10.
Ćwiczenie 7.11.
Ćwiczenie 7.12.
Ćwiczenie 7.13.
Ćwiczenie 7.14.
Ćwiczenie 7.15.
Ćwiczenie 7.16.
Ćwiczenie 7.17.
Ćwiczenie 7.18.
Ćwiczenie 7.19.
Ćwiczenie 7.20.
Ćwiczenie 7.21.
Ćwiczenie 7.22.
Ćwiczenie 7.23.
Ćwiczenie 7.24.
Ćwiczenie 7.25.
Ćwiczenie 7.26.
Ćwiczenie 7.27.
Ćwiczenie 7.28.
Ćwiczenie 7.29.
Ćwiczenie 7.30.
Ćwiczenie 7.31.
Ćwiczenie 7.32.
Ćwiczenie 7.33.
Ćwiczenie 7.34.
Ćwiczenie 7.35.
Ćwiczenie 7.36.
Ćwiczenie 7.37.
Ćwiczenie 7.38.
Ćwiczenie 7.39.
Ćwiczenie 7.40.
Ćwiczenie 7.41.
Ćwiczenie 7.42.
Ćwiczenie 7.43.
Ćwiczenie 7.44.
Ćwiczenie 7.45.
Ćwiczenie 7.46.
Ćwiczenie 7.47.
Ćwiczenie 7.48.
Ćwiczenie 7.49.
Ćwiczenie 7.50.
Ćwiczenie 7.51.
Ćwiczenie 7.52.
Ćwiczenie 7.53.
Ćwiczenie 7.54.
Ćwiczenie 7.55.
Ćwiczenie 7.56.
Ćwiczenie 7.57.
Ćwiczenie 7.58.
Ćwiczenie 7.59.
Ćwiczenie 7.60.
Ćwiczenie 7.61.
Ćwiczenie 7.62.
Ćwiczenie 7.63.
Ćwiczenie 7.64.
Ćwiczenie 7.65.
Ćwiczenie 7.66.
Ćwiczenie 7.67.
Ćwiczenie 7.68.
Ćwiczenie 7.69.
Ćwiczenie 7.70.
Ćwiczenie 7.71.
Ćwiczenie 7.72.
Ćwiczenie 7.73.
Ćwiczenie 7.74.
Ćwiczenie 7.75.
Ćwiczenie 7.76.
Ćwiczenie 7.77.
Ćwiczenie 7.78.
Ćwiczenie 7.79.
Ćwiczenie 7.80.