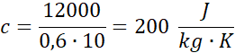
W tym zadaniu musisz obliczyć ciepło właściwe cieczy,
Energia:
ciepło właściwe:
Gdzie:
m – masa, cw – ciepło właściwe, ΔT – zmiana temperatury
Moc:
W – praca, t - czas
Ćwiczenie 7.1.
Ćwiczenie 7.2.
Ćwiczenie 7.3.
Ćwiczenie 7.4.
Ćwiczenie 7.5.
Ćwiczenie 7.6.
Ćwiczenie 7.7.
Podpunkt a)
Podpunkt b)
Ćwiczenie 7.8.
Ćwiczenie 7.9.
Ćwiczenie 7.10.
Ćwiczenie 7.11.
Ćwiczenie 7.12.
Ćwiczenie 7.13.
Ćwiczenie 7.14.
Ćwiczenie 7.15.
Ćwiczenie 7.16.
Ćwiczenie 7.17.
Ćwiczenie 7.18.
Ćwiczenie 7.19.
Ćwiczenie 7.20.
Ćwiczenie 7.21.
Ćwiczenie 7.22.
Ćwiczenie 7.23.
Ćwiczenie 7.24.
Ćwiczenie 7.25.
Ćwiczenie 7.26.
Ćwiczenie 7.27.
Ćwiczenie 7.28.
Ćwiczenie 7.29.
Ćwiczenie 7.30.
Ćwiczenie 7.31.
Ćwiczenie 7.32.
Ćwiczenie 7.33.
Ćwiczenie 7.34.
Ćwiczenie 7.35.
Ćwiczenie 7.36.
Ćwiczenie 7.37.
Ćwiczenie 7.38.
Ćwiczenie 7.39.
Ćwiczenie 7.40.
Ćwiczenie 7.41.
Ćwiczenie 7.42.
Ćwiczenie 7.43.
Ćwiczenie 7.44.
Ćwiczenie 7.45.
Ćwiczenie 7.46.
Ćwiczenie 7.47.
Ćwiczenie 7.48.
Ćwiczenie 7.49.
Ćwiczenie 7.50.
Ćwiczenie 7.51.
Ćwiczenie 7.52.
Ćwiczenie 7.53.
Ćwiczenie 7.54.
Ćwiczenie 7.55.
Ćwiczenie 7.56.
Ćwiczenie 7.57.
Ćwiczenie 7.58.
Ćwiczenie 7.59.
Ćwiczenie 7.60.
Ćwiczenie 7.61.
Ćwiczenie 7.62.
Ćwiczenie 7.63.
Ćwiczenie 7.64.
Ćwiczenie 7.65.
Ćwiczenie 7.66.
Ćwiczenie 7.67.
Ćwiczenie 7.68.
Ćwiczenie 7.69.
Ćwiczenie 7.70.
Ćwiczenie 7.71.
Ćwiczenie 7.72.
Ćwiczenie 7.73.
Ćwiczenie 7.74.
Ćwiczenie 7.75.
Ćwiczenie 7.76.
Ćwiczenie 7.77.
Ćwiczenie 7.78.
Ćwiczenie 7.79.
Ćwiczenie 7.80.