Prędkość w ruchu po okręgu możesz zapisać, posługując się iloczynem promienia i częstości kołowej:
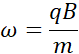
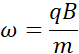
Cząstka z ładunkiem w polu magnetycznym będzie poruszała się ruchem po okręgu, więc siłą zakrzywiającą tor ruchu musi być siła Lorentza – pełni ona funkcję siły dośrodkowej:
Na mocy powyższego wstaw za v zapisaną reprezentację prędkości: