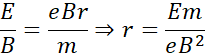
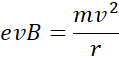
W przypadku tym siła Lorentza pełni nie tylko rolę siły dośrodkowej, ale także siły pochodzącej od pola elektrycznego selektora. Zatem porównuję siłę Lorentza dwukrotnie do wymienionych wyżej wartości i z każdej takiej operacji wyznaczam prędkość, aby ją ostatecznie porównać i wyznaczyć szukany promień.