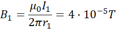
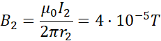
Indukcję w punkcie C pochodzącą od każdego przewodnika liczę, korzystając z definicji indukcji pola wokół przewodnika prostoliniowego, a następnie korzystając z własności rachunku wektorowego, liczę wypadkowy wektor z dwóch otrzymanych – w tym wypadku okazuje się, że indukcja pochodząca od przewodnika pierwszego i drugiego jest taka sama, zatem wypadkowym wektorem będzie wektor o długości przekątnej kwadratu stworzonego z wektorów składowych.