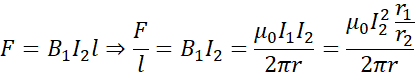
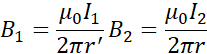
Z definicji indukcji pola przewodnika prostoliniowego z prądem zdefiniuj indukcję tworzoną w odległości r z obydwu przewodników. Wiadomo, w jakiej odległości wypadkowa indukcja jest zerem i korzystając z tejże równoważności, uzależnij natężenie pierwsze od drugiego, gdyż otrzymasz proporcję. Następnie korzystając z definicji siły elektrodynamicznej i z poprzednio określonych zależności, wylicz natężenie w przewodniku drugim i wróć do uzależnienia natężenia pierwszego od drugiego – wylicz natężenie pierwsze.