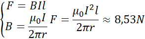
W przewodach prąd płynie w kierunkach do siebie przeciwnych, zatem obserwuję siłę powodującą odpychanie. Przewody wytwarzają pole magnetyczne –pole wytwarzane przez przewody jest takie samo, zatem liczę indukcję pochodzącą od jednego z nich z definicji indukcji magnetycznej przewodnika prostoliniowego z prądem i wstawiam ją do definicji siły elektrodynamicznej – taką siłą działają wzajemnie na siebie te przewody.