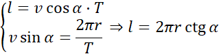
Cząstka wykonuje ruch w poziomie, jak i ruch po okręgu, zatem siła Lorentza pełni rolę siły dośrodkowej. Z rozkładu prędkości na składowe, co widać na rysunku wyżej, zauważam, że prędkość w ruchu po okręgu to składowa pionowa prędkości. Z równoważności powyżej wymienionych sił otrzymam zależność opisującą promień.
Skok linii śrubowej wyliczę jako drogę przebytą w czasie jednego okresu przez cząstkę, korzystam w tym wypadku z prędkości poziomej rozkładu prędkości.