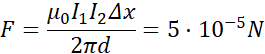
Zakładamy, że
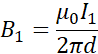
Każdy z przewodników wytwarza pole magnetyczne, aby znaleźć, jaką siłą przewodnik pierwszy działa na drugi, muszę określić indukcję pola, które wytwarza pierwszy przewodnik z prądem (korzystając z definicji indukcji pola magnetycznego prostoliniowego przewodnika z prądem) i pomnożyć je przez długość oraz natężenie drugiego przewodnika – czyli skorzystać z definicji siły elektrodynamicznej.