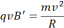
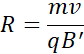
Wiem, że poza selektorem siła Lorentza pełni rolę siły dośrodkowej i z tej równoważności wyznaczam promień.
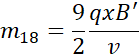
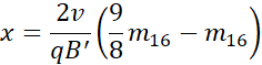
Z treści znam stosunek mas, zatem mogę uzależnić jedną masę od drugiej, a następnie wstawić do równości, która wynika z rysunku i otrzymuję w ten sposób masy obu izotopów.