W tym zadaniu należy obliczyć wartość indukcji pola magnetycznego.
Rozwiązanie
Wyjaśnienie
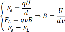
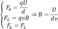
Aby cząstka mogła opuścić selektor, musi poruszać się ruchem prostoliniowym, zatem siła elektryczna pola płytek kondensatora musi się zrównoważyć z siłą Lorentza: