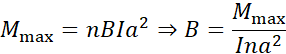
Ze względu na to, że ramka ma dwa boki, działa na nią parzysty elementarny moment sił, całkowity moment sił jest elementarnym momentem pomnożonym przez n – liczbę zwojów, moment sił z definicji jest równy iloczynowi siły, ramienia i sinusa kąta między wektorem siły i ramieniem. Maksymalny moment sił istnieje, gdy powyżej wspomniany kąt jest równy kątowi prostemu. Siła działająca na ramkę będzie siłą elektrodynamiczną a ramię siły to połowa długości boku kwadratowej ramki. Łącząc to wszystko i przekształcając równanie, otrzymuję zależność opisującą wartość wektora indukcji magnetycznej.