Z treści zadania wiemy, że:
Zatem stosunek prędkości pozytonu i elektronu wynosi:
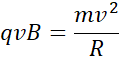
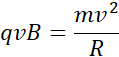
W ruchu po okręgu w polu magnetycznym zakładam, że rolę siły dośrodkowej (w przypadku cząstki) przejmuje siła Lorentza, wszak ona wpływa na zakrzywienie toru ruchu takiej cząstki.
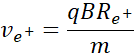
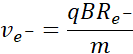
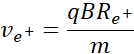
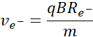
Przekształcając powyższe równanie i dostosowując wynik pod dwie cząstki, które mnie interesują, czyli elektron i pozyton, otrzymuję:
Licząc stosunek powyższych prędkości, otrzymuję: