Sytuacja 1:
Sytuacja 2:
Porównanie:
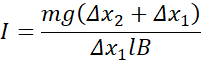
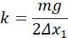
Sytuację rozpatruję dwukrotnie – kiedy działa tylko siła ciężkości (mg) oraz kiedy poza siłą ciężkości działa siła elektrodynamiczna wynikająca z przepływu prądu. Z każdej z tych sytuacji wyznaczam współczynnik sprężystości sprężyny i porównuję wzory tych współczynników (gdyż to niezmiennicza stała materiałowa) i wyznaczam z tej równoważności natężenie.