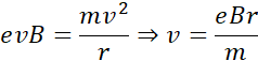
W tym zadaniu należy obliczyć pęd elektronu.
Siła Lorentza pełni rolę siły dośrodkowej i z tej równoważności można otrzymać wzór na prędkość, który użyteczny będzie do podstawienia do definicyjnego wzoru na pęd, czyli iloczynu masy i prędkości.
Zadanie 14.1.1
Zadanie 14.1.2
Zadanie 14.1.3
Zadanie 14.1.4
Zadanie 14.1.5
Zadanie 14.1.6
Podpunkt a)
Podpunkt b)
Zadanie 14.1.7
Zadanie 14.1.8
Zadanie 14.1.9
Zadanie 14.1.10
Zadanie 14.1.11
Podpunkt c)
Zadanie 14.1.12
Zadanie 14.1.13
Zadanie 14.1.14
Zadanie 14.1.15
Zadanie 14.1.16
Zadanie 14.1.17
Zadanie 14.1.18
Zadanie 14.2.1
Zadanie 14.2.2
Podpunkt d)
Zadanie 14.2.3
Zadanie 14.2.4
Zadanie 14.2.5
Zadanie 14.2.6
Zadanie 14.2.7
Zadanie 14.2.8
Zadanie 14.2.9
Zadanie 14.2.10
Zadanie 14.2.11
Zadanie 14.3.1
Zadanie 14.3.2
Zadanie 14.3.3
Zadanie 14.3.4
Zadanie 14.3.5
Zadanie 14.3.6
Zadanie 14.3.7
Zadanie 14.3.8
Zadanie 14.3.9
Zadanie 14.3.10
Zadanie 14.3.11
Zadanie 14.3.12
Zadanie 14.3.13
Zadanie 14.3.14
Zadanie 14.3.15
Zadanie 14.5.1
Zadanie 14.4.1
Zadanie 14.5.2
Zadanie 14.4.2
Zadanie 14.5.3
Zadanie 14.4.3
Zadanie 14.5.4
Zadanie 14.4.4
Zadanie 14.5.5
Zadanie 14.4.5
Zadanie 14.5.6
Zadanie 14.4.6
Zadanie 14.5.7
Zadanie 14.4.7
Zadanie 14.5.8
Zadanie 14.4.8
Zadanie 14.4.9
Zadanie 14.5.9
Zadanie 14.4.10
Zadanie 14.5.10
Zadanie 14.4.11
Zadanie 14.5.11
Zadanie 14.4.12
Zadanie 14.5.12
Zadanie 14.4.13
Zadanie 14.5.13
Zadanie 14.4.14
Zadanie 14.5.14
Zadanie 14.1
Zadanie 14.2
Zadanie 14.3
Zadanie 14.4
Zadanie 14.5
Zadanie 14.6
Zadanie 14.7
Zadanie 1. – Elektron na orbicie
Podpunkt 1.1
Podpunkt 1.2
Podpunkt 1.3
Podpunkt 1.4
Zadanie 2. – Rezonans jądrowy
Podpunkt 2.1
Podpunkt 2.2
Podpunkt 2.3
Podpunkt 2.4
Zadanie 3. – Wiatr słoneczny
Podpunkt 3.1
Podpunkt 3.2
Podpunkt 3.3