W tym zadaniu należy obliczyć wartości indukcji magnetycznej w punktach A i B.
Rozwiązanie
Wyjaśnienie
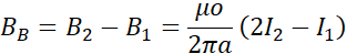
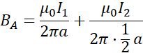
Każdy z przewodników w podanych punktach powoduje powstanie wektora indukcji magnetycznej, który mogę wyrazić definicyjną zależnością od każdego z przewodników. W celu wyliczenia wypadkowego wektora w każdym z punktów stosuję zasadę superpozycji.