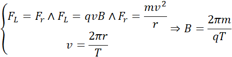
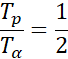
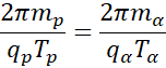
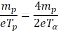
Skorzystaj z faktu, że siła Lorentza pełni rolę dośrodkowej, a prędkość jest prędkością w ruchu po okręgu. Z powyższej informacji wylicz zależność przedstawiającą indukcję pola magnetycznego inwariantną dla obu przypadków, więc dostosowując dane odpowiednio dla protonu i cząstki, porównaj i wylicz stosunek okresów obiegu.