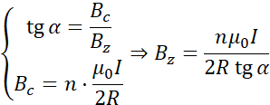
Wektor indukcji pola magnetycznego cewki i wektor indukcji pola magnetycznego Ziemi mają się do siebie, jak przedstawia to rysunek pomocniczy. Wartość wektora indukcji magnetycznej Ziemi wyliczam, korzystając z trygonometrycznych własności, przedstawiając indukcję magnetyczną cewki z definicji.