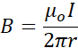
W tym zadaniu należy obliczyć wartość indukcji pola magnetycznego w otoczeniu przewodnika oraz porównać wartość z indukcją magnetyczną Ziemi.
Rozwiązanie
Wyjaśnienie
Dla linii energetycznej prądu stałego wyliczam indukcję pola wprost z definicji, zaś indukcję ziemskiego pola grawitacyjnego odczytuję jako daną tablicową.