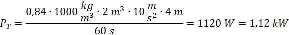
Oblicz moc turbiny, jeśli wykorzystuje ona 84% energii dostarczonej przez wodospad, a w czasie 1 minuty spada na nią 20 hektolitrów wody z wysokości 4 m.
Rozwiązanie
Wyjaśnienie
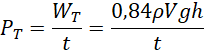
Najpierw obliczamy energię, jaką posiada woda, a więc energię potencjalną. Turbina wykorzystuje 84% tej energii. Na koniec korzystamy ze wzoru na moc i wstawiamy dane liczbowe w jednostkach układu SI.