Korzystając z danych przedstawionych w treści zadania oblicz pracę silnika pojazdu.
Rozwiązanie
Wyjaśnienie
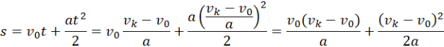
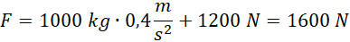
Za pomocą równań ruchu obliczamy przyspieszenie pojazdu. Następnie zapisujemy wzór na siłę wypadkową i na jego podstawie obliczamy siłę ciągu silnika. Na koniec obliczamy pracę silnika.