Zadanie

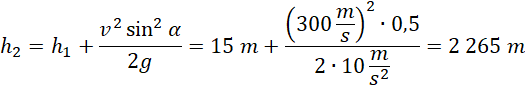
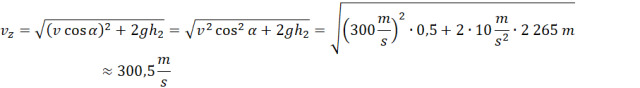
Oblicz wysokość, na jaką dotrze pocisk wystrzelony z szybkością 300 m/s pod kątem 45° z wysokości 15 m nad podłożem oraz wartość prędkości, z jaką uderzy w podłoże.

Rozwiązanie

Wyjaśnienie

Zadania z tego działu
Praca, moc, energia mechaniczna
94
19. Zderzenia ciał
106