Oblicz wartość, o jaką siła naprężająca linkę przekroczyłaby bezpieczną wartość, gdyby linkę odchylono od pionu o kąt 90°.
Rozwiązanie
Wyjaśnienie
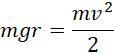
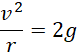
Zapisujemy zasadę zachowania energii mechanicznej i wyznaczamy odpowiednią zależność. Następnie wyznaczamy wartość siły naciągu, którą obliczamy, korzystając z wyznaczonej wcześniej zależności.