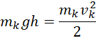
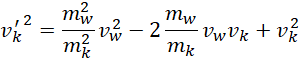
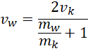
Korzystając z zasady zachowania energii mechanicznej, obliczamy prędkość kulki w najniższym punkcie, tuż przed zderzeniem. Następnie zapisujemy zasadę zachowania energii mechanicznej w układzie oraz zasadę zachowania pędu. Kulka odbija się sprężyście, więc zakładamy, że uzyskuje prędkość ze zwrotem przeciwnym do pierwotnego o nieznanej wartości. Otrzymane zależności przekształcamy i skracamy wielkości pojawiające się w każdym wyrazie.