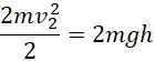
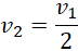
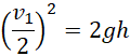
Za pomocą zasady zachowania energii mechanicznej obliczamy prędkość pierwszej kostki lodu w najniższym punkcie zaraz przed zderzeniem. Następnie stosujemy zasadę zachowania pędu, aby obliczyć prędkość kostek lodu po ich złączeniu. Na koniec stosujemy jeszcze raz zasadę zachowania energii, tym razem dla układu złożonego z dwóch połączonych ze sobą kostek.