Zadanie

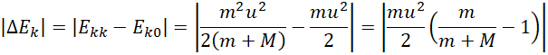
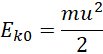
Wiedząc, że dwa ciała o masach i , z których drugie pozostaje w spoczynku, a pierwsze ma prędkość o wartości , zderzają się centralnie i niesprężyście wyprowadź wzór na ubytek energii kinetycznej układu ciał oraz na względny ubytek tej energii.

Rozwiązanie

Wyjaśnienie

Zadania z tego działu
Praca, moc, energia mechaniczna
94
19. Zderzenia ciał
106