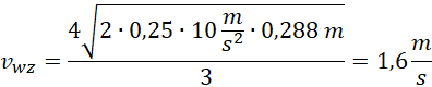
Na podstawie danych przedstawionych w treści zadania oblicz wartość prędkości względnej samochodzików w chwili, gdy zwolniono sprężynkę.
Samochodziki poruszają się w przeciwne strony, więc w celu obliczenia prędkości względnej należy dodać do siebie wartości ich prędkości.
Zadanie 16.1.
Zadanie 16.2.
Podpunkt a)
Podpunkt b)
Zadanie 16.3.
Zadanie 16.4.
Zadanie 16.5.
Zadanie 16.6.
Podpunkt c)
Zadanie 16.7.
Zadanie 16.8.
Zadanie 16.9.
Zadanie 16.10.
Zadanie 16.11.
Zadanie 16.12.
Zadanie 16.13.
Zadanie 16.14.
Zadanie 16.15.
Zadanie 16.16.
Zadanie 16.17.
Zadanie 16.18.
Zadanie 16.19.
Zadanie 16.20.
Zadanie 16.21.
Zadanie 17.1.
Zadanie 17.2.
Zadanie 17.3.
Zadanie 17.4.
Zadanie 17.5.
Zadanie 17.6.
Zadanie 17.7.
Zadanie 17.8.
Zadanie 17.9.
Zadanie 17.10.
Zadanie 17.11.
Zadanie 17.12.
Zadanie 17.13.
Zadanie 17.14.
Zadanie 17.15.
Zadanie 17.16.
Zadanie 18.1.
Zadanie 18.2.
Zadanie 18.3.
Zadanie 18.4.
Zadanie 18.5.
Zadanie 18.6.
Zadanie 18.7.
Zadanie 18.8.
Zadanie 18.9.
Zadanie 18.10.
Zadanie 18.11.
Zadanie 18.12.
Zadanie 18.13.
Zadanie 18.14.
Zadanie 18.15.
Zadanie 18.16.
Zadanie 18.17.
Zadanie 18.18.
Zadanie 18.19.
Zadanie 18.20.
Zadanie 19.1.
Zadanie 19.2.
Zadanie 19.3.
Zadanie 19.4.
Zadanie 19.5.
Zadanie 19.6.
Zadanie 19.7.
Zadanie 20.1.
Zadanie 20.2.
Zadanie 20.3.
Zadanie 20.4.
Zadanie 20.5.
Zadanie 20.6.
Podpunkt d)
Zadanie 20.7.
Zadanie 20.8.
Podpunkt e)