Na podstawie danych przedstawionych w treści zadania sprawdź, czy .
Rozwiązanie
Wyjaśnienie
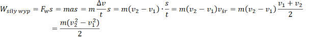
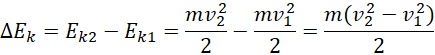
Korzystamy ze wzoru na energię kinetyczną, rozpisując jej wartość. Rozkładamy na czynniki również wartość pracy wykonanej przez siłę wypadkową. Stosunek drogi do czasu to prędkość średnia.