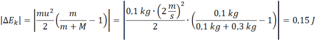
Korzystając ze wzoru wyprowadzonego w poprzednim podpunkcie oblicz wartość liczbową , a także wyraź w procentach względny ubytek energii kinetycznej, przyjmując wypisane w treści zadania dane liczbowe.
Rozwiązanie
Wyjaśnienie
Do wzorów wyznaczonych w poprzednim punkcie wstawiamy dane liczbowe.