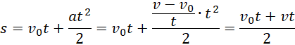
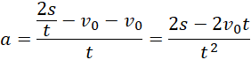
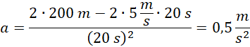
Oblicz pracę siły , która działając na pojazd o masie 1,2 t, zwiększyła jego szybkości od 5 m/s do pewnej wartości w czasie 20 sekund, jeśli pojazd przejechał w tym czasie 200 m.
Rozwiązanie
Wyjaśnienie
Zapisujemy równania ruchu dla ruchu jednostajnie przyspieszonego, na podstawie których obliczamy przyspieszenie samochodu. Następnie obliczamy pracę siły napędzającej samochód.