Zadanie

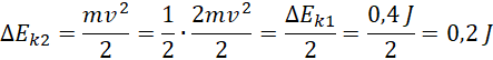
Na podstawie rysunku przedstawionego w podręczniku oblicz, o ile wzrosła energia kinetyczna klocka wiszącego na lince, a o ile zmalała jego energia potencjalna, jeśli jego energia całkowita zmalała o 0,4 J.

Rozwiązanie

Wyjaśnienie

Zadania z tego działu
Praca, moc, energia mechaniczna
94
19. Zderzenia ciał
106